updated 14 April 2023
Aperture is one of the component of exposure triangle. It is a lens, not a camera parameter, and is one of the factors for why we have such a difference in prices. The smaller number on Aperture, the more expensive lens. Also the lenses are identified by the smallest f-number available and their focal length.
Along with shutter speed and ISO and depending on what your final result want to be, brighter or darker images, or just a shallow depth of field with great bokeh, aperture is key of understanding how your camera works.
The f number: It is (f), the focal length, divided by diameter of the aperture of the lens. In picture below you can observe a f11 aperture for my Mamiya film camera. This means aperture is 11 times smaller than the focal length, in my case a 135mm lens.

The following usual values found written on the lenses are referred to as F-STOPS:
1/2.8 1/4 1/5.6 1/8 1/11 1/16

In the image above, there is a 50mm fixed lens with aperture ranging from f1.7 to f16.
Each f-stop “normaly” represent a change in light intensity of a factor of two.
An aperture of f2.8 has an area double than area of f4, this means double the photons entering the camera sensor and double the image brightness. An f4 aperture, has an area double than f5.6, so double the amount of light.
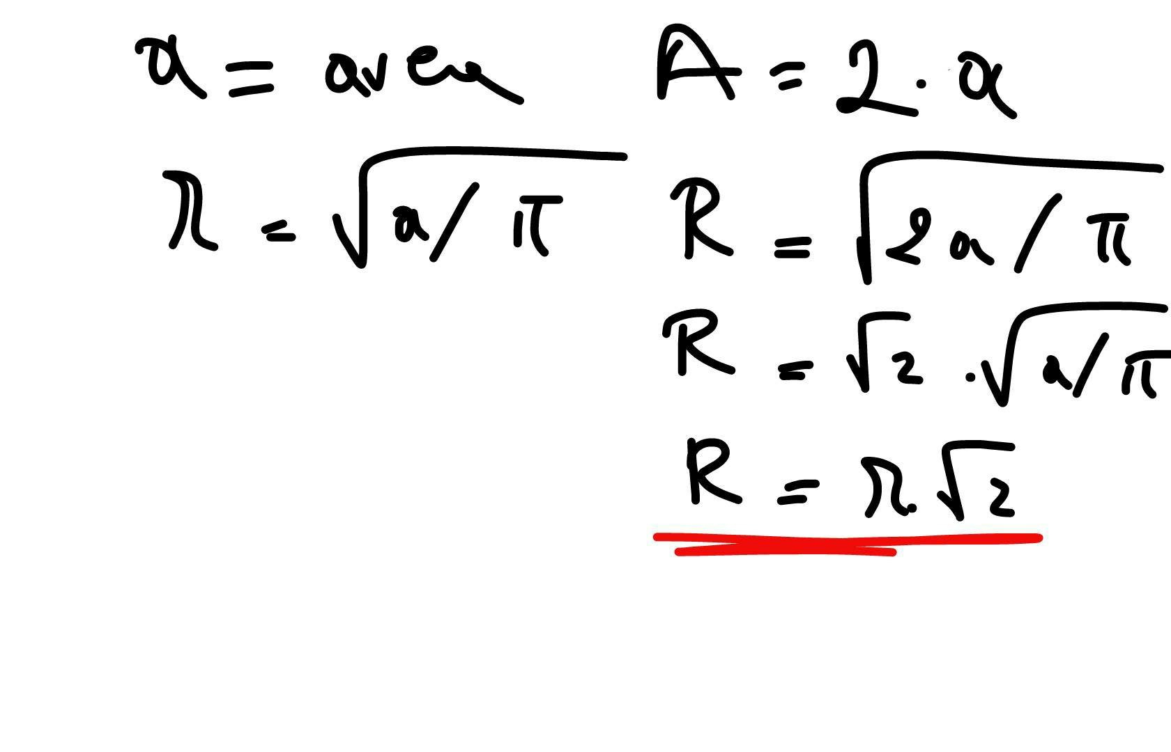
To better understand this values, you have to calculate the radius (r) of an aperture versus the radius (R) of double the aperture.
In the drawing below we have:
“a” = is the initial area for an whatever f-stop number.
I want to calculate the relation between radius of area “a” and radius R of double of area “a”:

Above is “A” = double the aperture area of “a” and difference between r (for area “a”) and R (for area “A”).So double the area and you get a radius of R = r×√2. This is the relation that we get between f-stop numbers also and this is also the reason behind this strange numbers.
The initial f-stop for area “a” is f.
The F-stop for an area that is double of area “a” is:
F-stop (for area A) = 1/diameter of A == 1/ (2*R) == 1/(2*r*√2) , but 1/(2*r) == f(for area “a”),
so, F == 1/(2*r*√2) = 1/(2*r) * 1/√2 == f * 1/√2
Conclusion: Double the area F-stop = f-stop of smaller area divided by √2
F(bigger area) =f (smaller area)/√2
====================
Note that a bigger area means in fact a smaller f-stop, becasuse f-stop = focal lenght / Aperture Diameter.
< ! > Bigger Area means F-stop is smaller < ! >
f2.8 has double the area of f4 because F2.8 is in fact equal to F4/√2.
And vice versa: f2.8 and multiply by 1.42, which is the approximate of square root of 2, and you will get f4.
f2.8 is just a notation for the correct value of 1/2.8.
1/2.8 = 1/(1/4)×1/√2 ==> or written in another way: f2.8 = 1/2.8 = f4×√2
2.8×√2 = 4;
The purpose of this article is not to enter into physical details of lens optics, but just understand enough what is the idea behind Aperture parameter. In the end, when you are out there shooting, what it matters is to control the result of your desired photo.
I use Aperture to control two conditions:
1. Light
Each F-stop can increase or decrease by a factor of two the light entering the camera sensor or film.
2. Depth of field
Check the other post:
https://thephotonmemories.com/2019/04/23/depth-of-field/
Reblogged this on Photon Memories.
LikeLike